Предмет: Математика,
автор: БатькаБатек
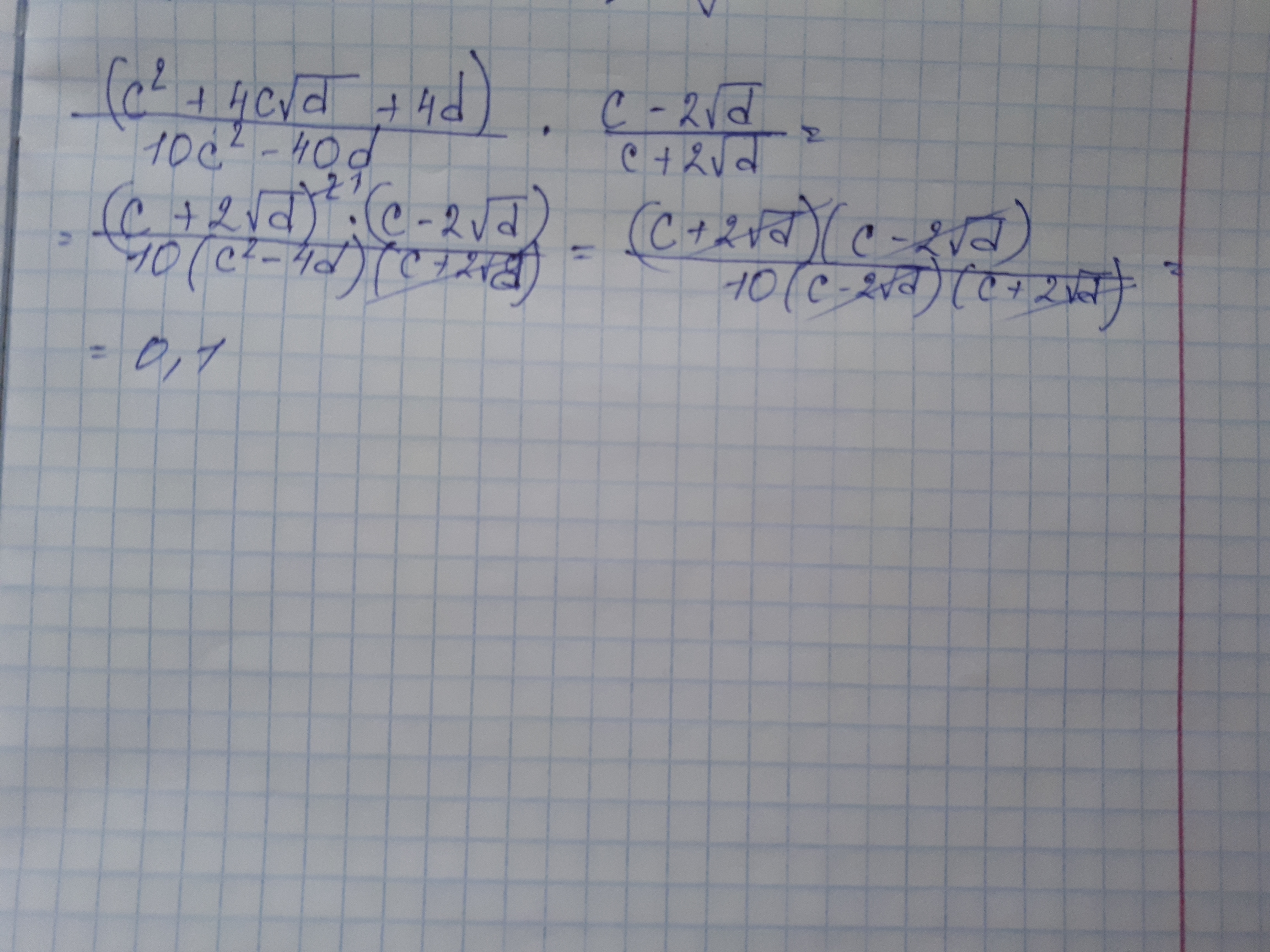
упростите выражение
(c^2+4c√d +4d)/(10c^2-40d) * (c-2√d)/c+2√d)
Ответы
Автор ответа:
0
вот, если нужно подробнее - объясню
Приложения:
Похожие вопросы
Предмет: Алгебра,
автор: abarovskaavaleria
Предмет: Литература,
автор: erasylbejbit03
Предмет: Химия,
автор: juliabufon7
Предмет: Музыка,
автор: verusik65