Предмет: Алгебра,
автор: Кросс17
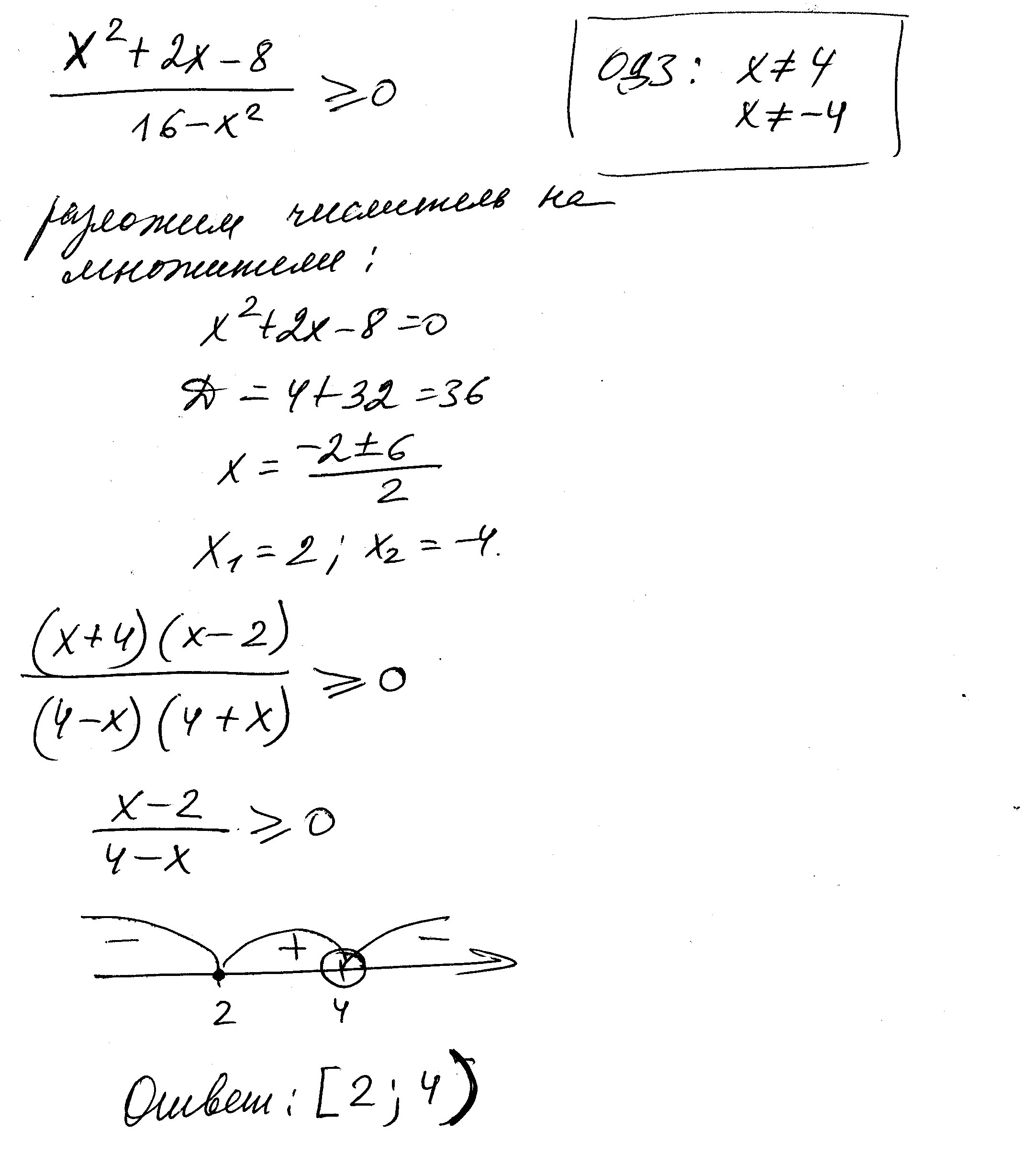
Решите неравенство x^2+2x-8/16-x^2>=0
Ответы
Автор ответа:
8
решение во вложенном файле
Приложения:
Кросс17:
спасибо
Похожие вопросы
Предмет: Математика,
автор: krivorcukt
Предмет: Математика,
автор: Morrl
Предмет: Алгебра,
автор: ulianalerh11
Предмет: Физика,
автор: olehbuiar
Предмет: Математика,
автор: zchemaletdinov1973