Предмет: Математика,
автор: Аноним
если можно с решением, пожалуйста+ фото
Приложения:
Ответы
Автор ответа:
0
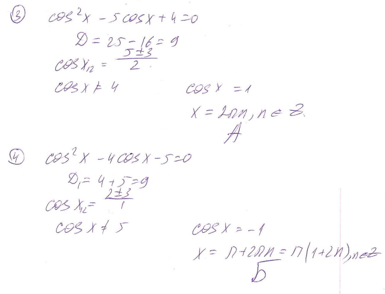
надеюсь будет понятно..........
Приложения:
Похожие вопросы
Предмет: История,
автор: george1406
Предмет: Математика,
автор: 17wer98ghj606
Предмет: Математика,
автор: parvina2006
Предмет: Биология,
автор: androidhero