Предмет: Алгебра,
автор: Павлик73239392
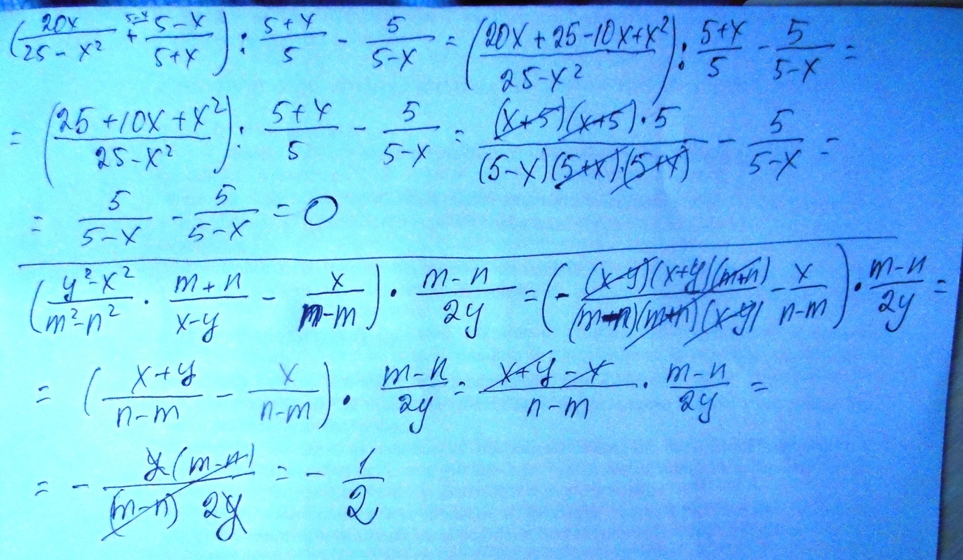
Ребят помогите мне решить 4 примера?)За ранее спасибо)
Приложения:
Ответы
Автор ответа:
0
!!!!!!!!!!!!!!!!!!!!!!!!!!!!!!
Приложения:
Похожие вопросы
Предмет: Русский язык,
автор: Аноним
Предмет: Английский язык,
автор: francesconbdy
Предмет: Алгебра,
автор: Neznayka54321
Предмет: Математика,
автор: алексис4