Предмет: Алгебра,
автор: яна04052
помогите решить
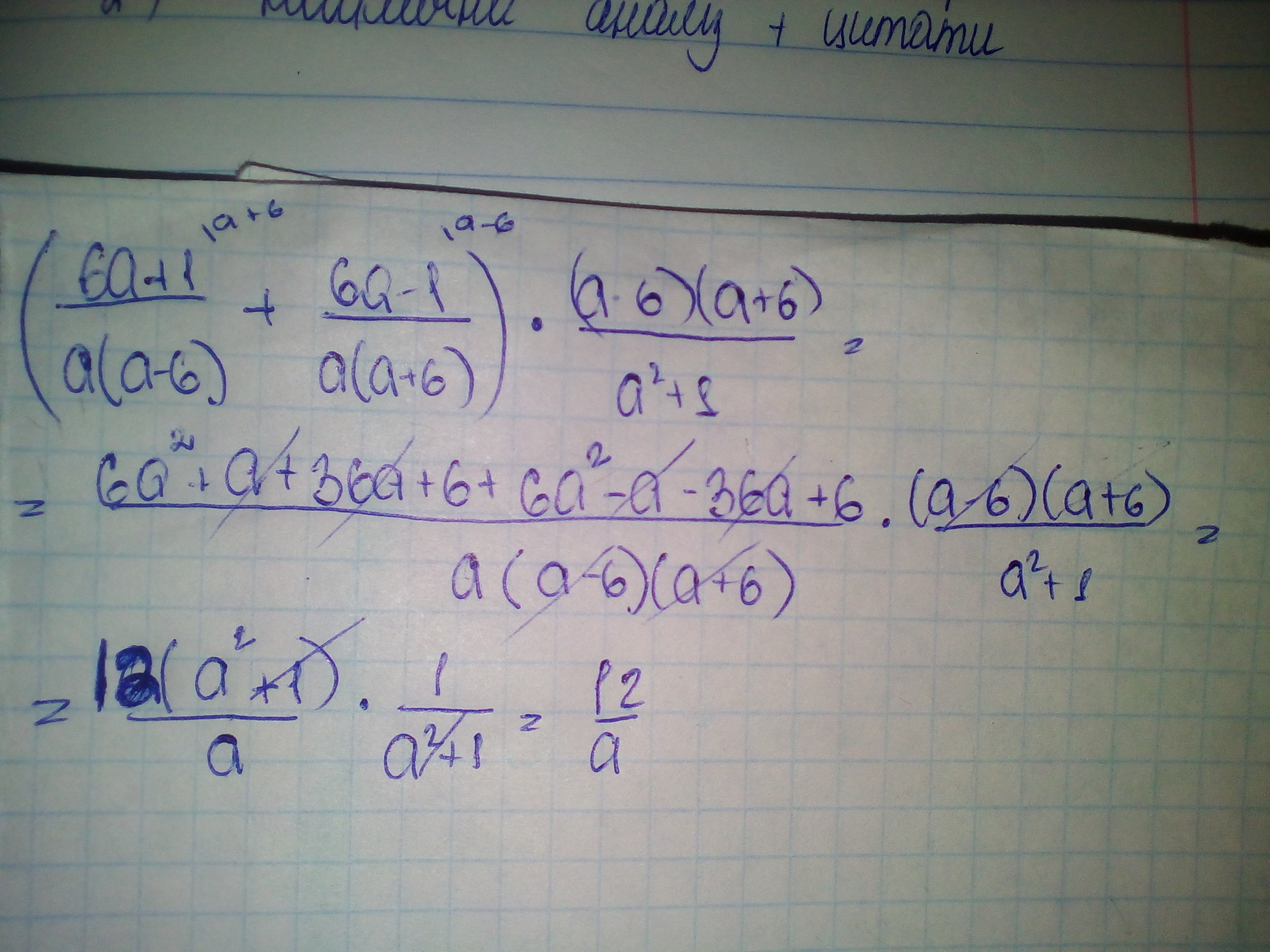
Упростите выражение
решение на фото если можно
Приложения:
Ответы
Автор ответа:
0
Решение приложила на фото ниже
Приложения:
Похожие вопросы
Предмет: Литература,
автор: shapinalemon
Предмет: Другие предметы,
автор: sofa141424
Предмет: Геометрия,
автор: sunrise78
Предмет: Математика,
автор: Аноним
Предмет: География,
автор: Rosa5