Предмет: Математика,
автор: Эмилия821
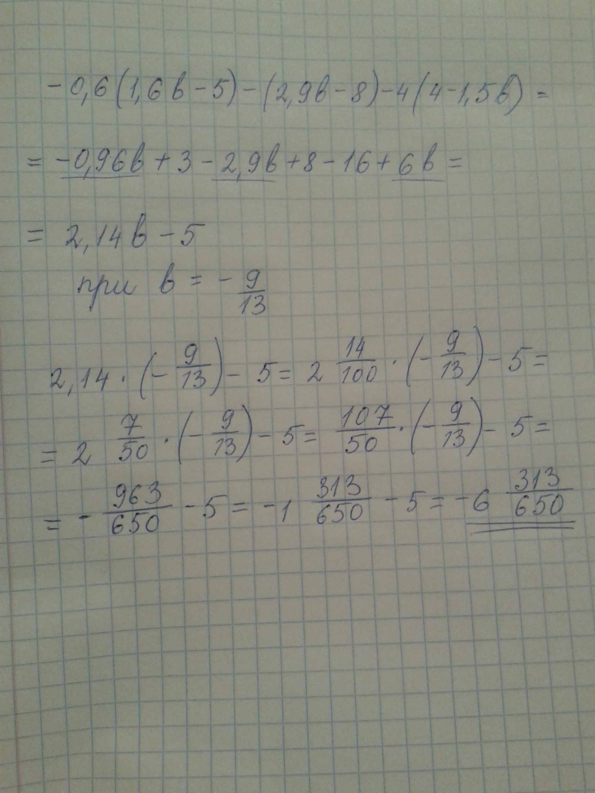
Упростите выражение -0,6(1,6b-5)-(2,9b-8)-4(4-1,5b) и вычислите его значение при b=-9/13
Ответы
Автор ответа:
0
См. в приложении.
---------------------------
---------------------------
Приложения:
Автор ответа:
0
Вроде проверила - цифры нереальные..
Похожие вопросы
Предмет: Математика,
автор: akupovsuhrat3
Предмет: Астрономия,
автор: zziosk
Предмет: Другие предметы,
автор: aminakay
Предмет: Математика,
автор: Солнышко2008