Предмет: Математика,
автор: джонронпон
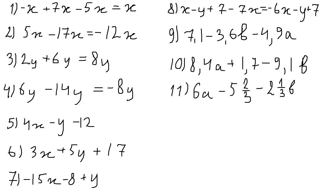
помогите решить номер 21 с 1-11 пожалуйста
Приложения:
Ответы
Автор ответа:
0
---------------------------------------------------------------------------------------------------------Надо бы мне почаще сюда заходить :)
---------------------------------------------------------------------------------------------------------
---------------------------------------------------------------------------------------------------------
Приложения:
Похожие вопросы
Предмет: История,
автор: gasu123
Предмет: Математика,
автор: KayMalenki
Предмет: Математика,
автор: Аноним
Предмет: Математика,
автор: Евгения3611