Предмет: Математика,
автор: asynasanlove
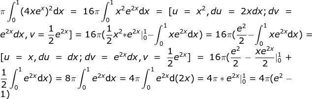
Вычислите объем тела,полученного вращением вокруг оси Ох фигуры,ограниченной кривой у=4хе^х и прямыми х=1, у=0
Помогите пожалуйста с решением.
Ответы
Автор ответа:
0
......................................................
Приложения:
Похожие вопросы
Предмет: Русский язык,
автор: ValentinGudeiko
Предмет: Математика,
автор: Akitnis1998
Предмет: Геометрия,
автор: Dasha606863
Предмет: Алгебра,
автор: натусик02
Предмет: Литература,
автор: миньон121