Предмет: Алгебра,
автор: crazydj123
Вычислите пожалуйста
Приложения:
Ответы
Автор ответа:
0
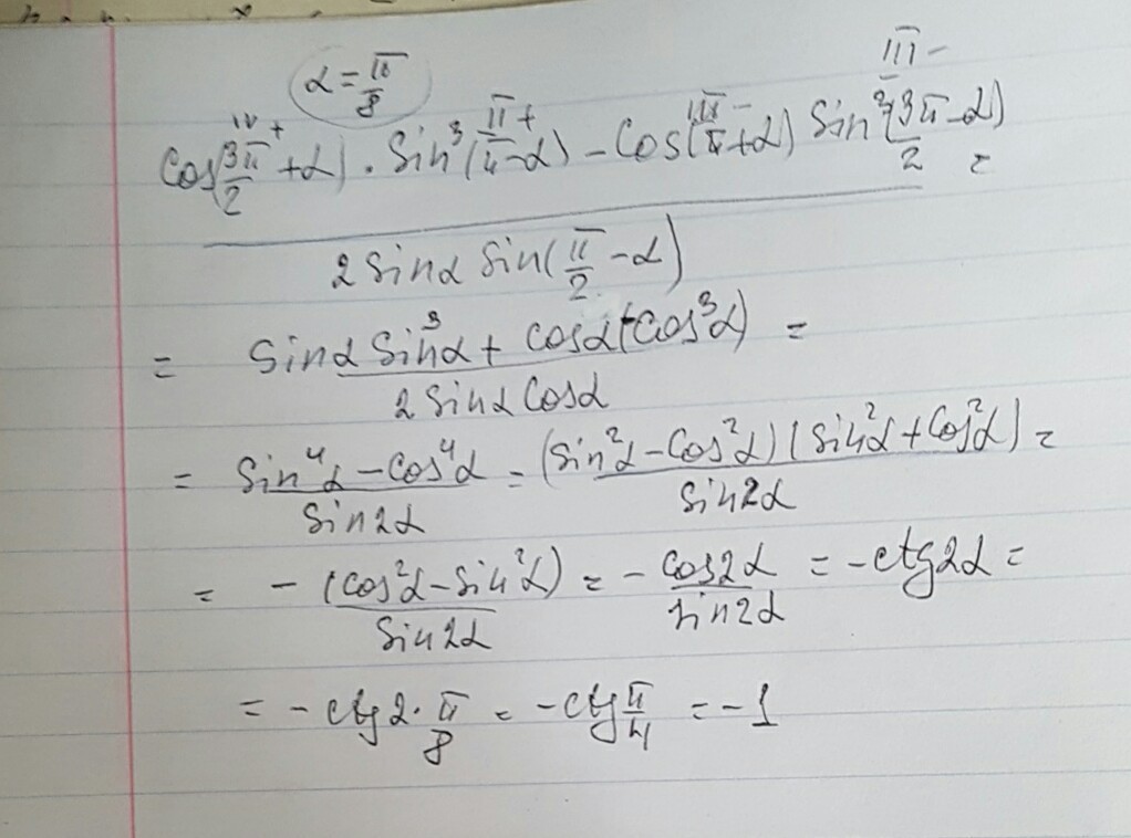
решение задания смотри на фотографии
Приложения:
Автор ответа:
0
пожалуйста
Автор ответа:
0
Спасибо большое
Автор ответа:
0
на здоровье,это не составило большого труда.
Похожие вопросы
Предмет: Математика,
автор: barselonapve
Предмет: Математика,
автор: leshenca61
Предмет: Алгебра,
автор: dianazukovamne12
Предмет: Биология,
автор: діма25
Предмет: Математика,
автор: 4444761