Предмет: Алгебра,
автор: Антон7676
Решите пожалуйста
4 и 2
Если можете то все
Ребят пожалуйста
4 и 2
Приложения:
Ответы
Автор ответа:
0
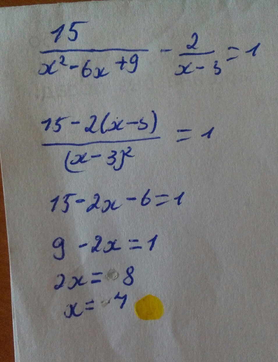
це вілповід якшо шось неясно питайте
Приложения:
Автор ответа:
0
Спасибо)
Похожие вопросы
Предмет: Геометрия,
автор: forindjon
Предмет: Английский язык,
автор: cristiansalazarmarti
Предмет: Математика,
автор: mashahaha181818181
Предмет: Математика,
автор: galitskaia03
Предмет: Математика,
автор: Аноним