Предмет: Алгебра,
автор: Lssaveleva18
Помогите срочно решить! Все 4 примера! Буду очень благодарна!
Приложения:
Ответы
Автор ответа:
0
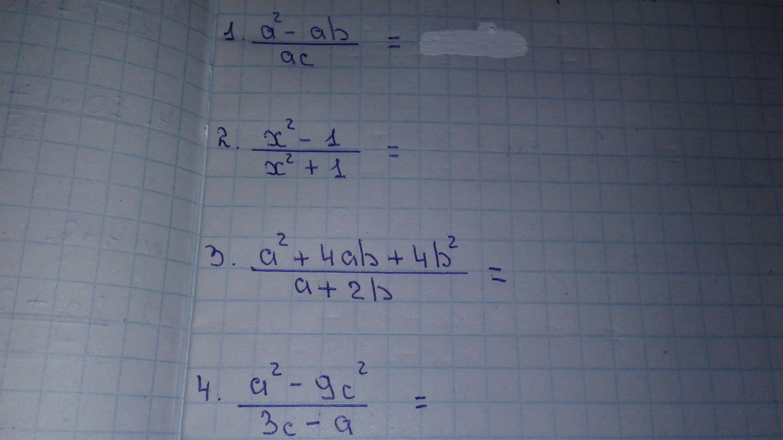
1) а(а–b) a–b
---------- = -------
ac c
2) (x–1)(x+1)
-------------
x^2+1
3) (a+2b)^2
------------- = a+2b
a+2b
4) a^2–9c^2 (a–3c)(a+3c)
-------------- = ------------------ = –a–3c
3c–a -(a–3c)
---------- = -------
ac c
2) (x–1)(x+1)
-------------
x^2+1
3) (a+2b)^2
------------- = a+2b
a+2b
4) a^2–9c^2 (a–3c)(a+3c)
-------------- = ------------------ = –a–3c
3c–a -(a–3c)
Похожие вопросы
Предмет: Математика,
автор: Parsifal231
Предмет: Английский язык,
автор: sevilailasova7
Предмет: Биология,
автор: rasul6055
Предмет: Математика,
автор: marzhan458
Предмет: Химия,
автор: artem66666676