Предмет: Алгебра,
автор: nastya7757
помогите решить 5.6, 5.8,5.10 пожалуйста
Приложения:
Ответы
Автор ответа:
0
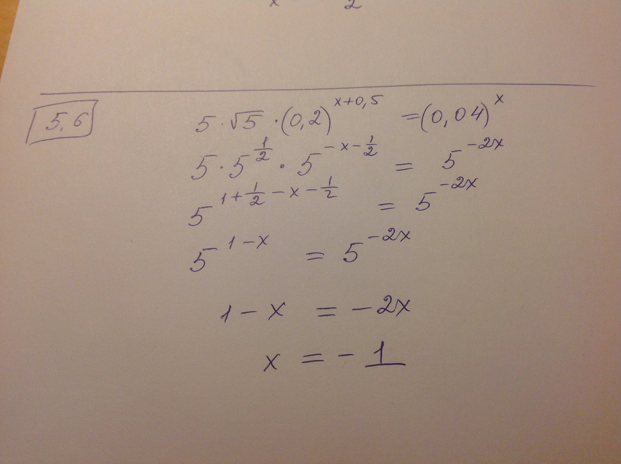
Решение смотри на фото
Приложения:
Автор ответа:
0
https://znanija.com/task/23392081
Похожие вопросы
Предмет: Другие предметы,
автор: algazinovtair33
Предмет: Алгебра,
автор: KaiLDesteny
Предмет: Литература,
автор: daridarigor
Предмет: Математика,
автор: nastyapshenko
Предмет: Алгебра,
автор: hhjjjjbvcx