Предмет: Алгебра,
автор: VIPZNATOK1
4 завдання пліз срочняк як нада пліз
Приложения:
Ответы
Автор ответа:
0
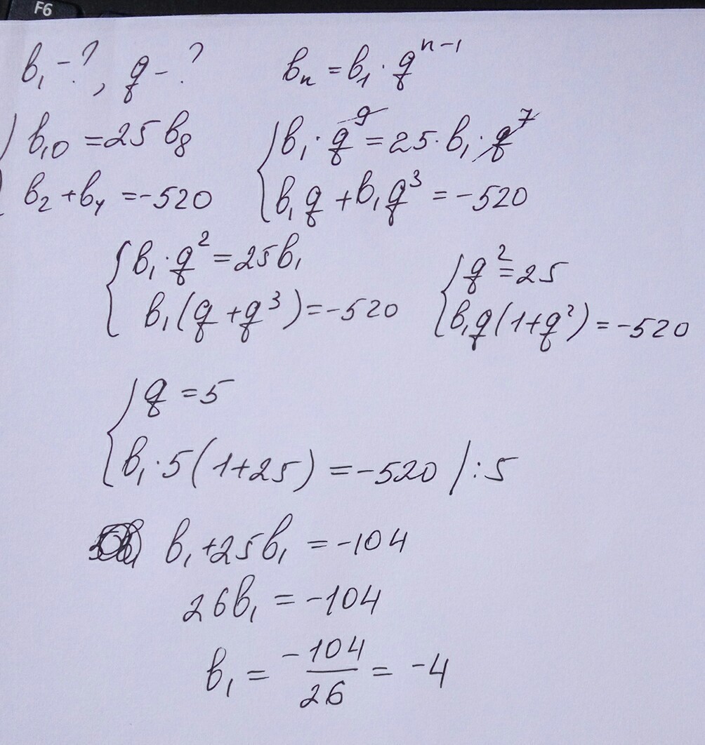
Решение смотрите в приложении
Приложения:
Похожие вопросы
Предмет: Химия,
автор: sau1nc28
Предмет: Физика,
автор: Voznesensk
Предмет: Физика,
автор: Voznesensk
Предмет: Алгебра,
автор: arseniav
Предмет: Литература,
автор: DeSh471