Предмет: Алгебра,
автор: heyunicorn1999
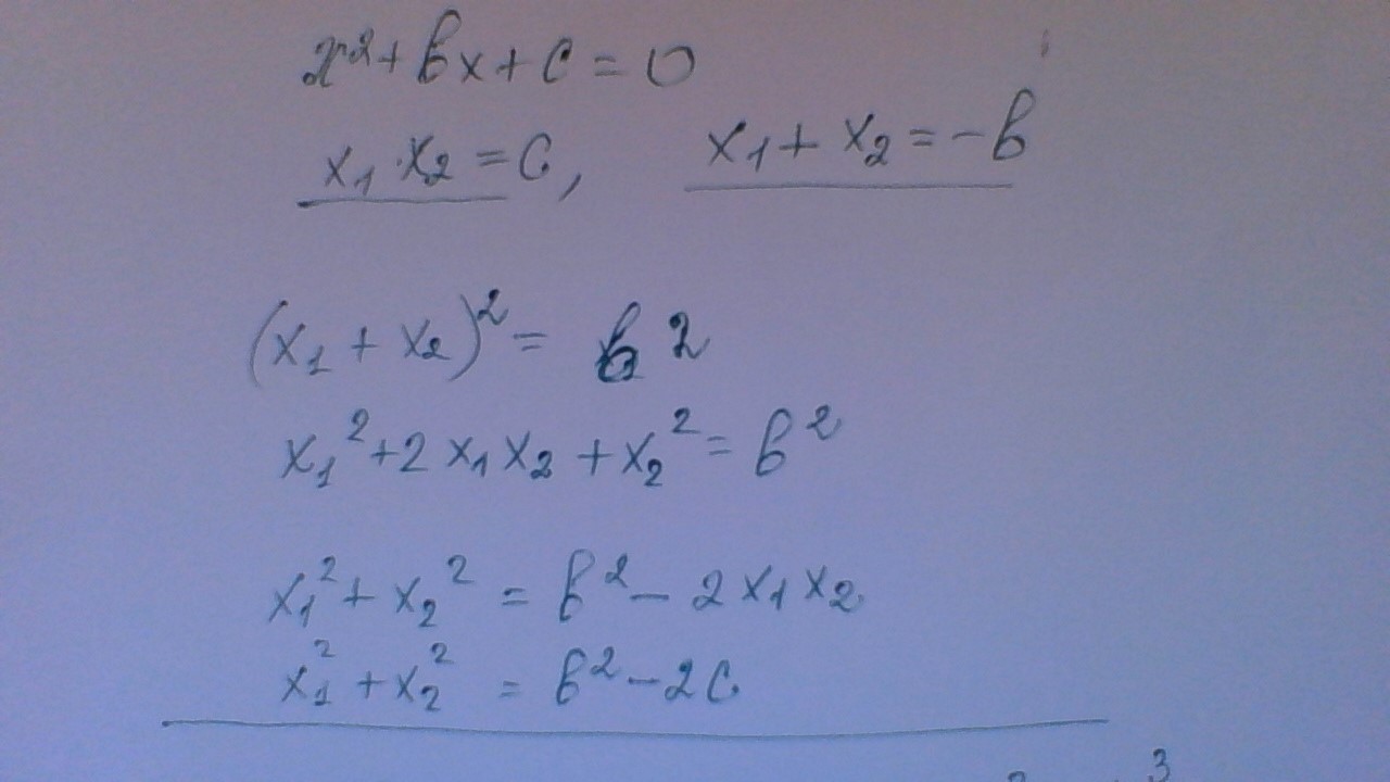
Выразите через коэффициенты приведенного квадратного уравнения, имеющего корни, сумму кубов и сумму квадратов корней этого уравнения
Ответы
Автор ответа:
0
Решение в приложении...............................
Приложения:
Похожие вопросы
Предмет: Физика,
автор: 2007roxana
Предмет: Литература,
автор: ekaterinaklusa
Предмет: Алгебра,
автор: Anna1327a
Предмет: География,
автор: simssimssimssims
Предмет: Алгебра,
автор: mmitiushina