Предмет: Алгебра,
автор: yara96
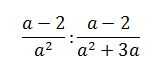
решите пожалуйста.вложено
Приложения:
Ответы
Автор ответа:
0
Моё решение во вложениях, если что-то не видно, пиши в личное сообщение.
Приложения:
Похожие вопросы
Предмет: Математика,
автор: tulegenovaalia18
Предмет: История,
автор: andrei3749
Предмет: Алгебра,
автор: antontretyak00
Предмет: Химия,
автор: boberblin
Предмет: Обществознание,
автор: kbdthgekm