Предмет: Физика, автор: ВикаНика02

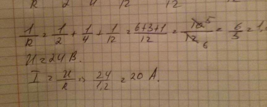
Три резистора, сопротивления и 2,4,12 Ом соедините параллельно. Опредилите показания амперметра, если вольтметр показывает 24В.

Ответы

Автор ответа: XaPdbi
0
Ставь отметку "лучший ответ" и подписывайся)
Приложения:
Похожие вопросы
Предмет: Русский язык, автор: haydayaskarmrx
Помогите с русским, даю 100 баллов
11. Определите, в каком варианте встречаются слова с оглушением звонкого согласного перед глухим и в конце слова
a) Никому не мило, когда дело хило
b) Не сиди сложа руки – так и не будет скуки
c) Не вспотеет лоб – не вскипит котел
d) Не надевай хомут с хвоста, не начинай дело с конца

12. Определите, в каком варианте встречаются слова с оглушением согласных в конце слова.
a) Выговоренное слово не догонишь
b) Рыбка мелка, да уха сладка
c) Терпенье дает уменье
d) Мир да лад – большой клад.

13. Определите, в каком варианте встречается слово с озвончением глухого согласного перед звонким
a) Шерсть стриги, а шкуру не сдирай
b) Клади по ягодке, а наберешь кузовок
c) К неправде тысячи дорог, а к правде одна
d) Всяк правды ищет, да не всяк ее творит

14. Укажите слово, в котором все согласные твердые
a) широкий
b) морковь
c) парашют
d) шикарный

15. Определите, в каком варианте встречаются слова с оглушением звонкого согласного перед глухим и в конце слова
a) В зимний холод всякий молод
b) Слово – серебро. Молчание- золото
c) И медведи плясать любят
d) Тяжело в учении – легко в походе

16. Какой из фразеологизмов совпадает по структуре со свободным словосочетанием
a) сводить с ума
b) уносить ноги
c) надевать маску
d) ума палата

17. Укажите лингвистическое явление, использованное в этом тексте:
Жизнь человеческая разделяется на будни, которых много, и праздники, которых мало
a) омонимия
b) многозначность
c) антонимия
d) синонимия

18. В каких отношениях находятся между собой выделенные слова: Я употребляю его (слово «обыденный») в том смысле, в котором оно значит: обыкновенный, тривиальный, привычный
a) омонимии
b) антонимии
c) синонимии
d) паронимии

19. Укажите лингвистическое явление, использованное в этом тексте:
Маятники юркие, как рыбки,
Днем и ночью, рядом и вдали…
a) омонимия
b) многозначность
c) антонимия
d) синонимия

20. Укажите, какой из фразеологизмов совпадает по структуре со свободным словосочетанием
a) битый час
b) играть на нервах
c) снимать сливки
d) легок на помине

21. Укажите лингвистическое явление, использованное в этом тексте:
Жизни лучшие мгновенья
Сердца жаркие мечты,
Роковые впечатленья
Зла, добра и красоты.
Все, что близко, что далеко,
Все, что грустно и смешно
a) омонимия
b) многозначность
c) антонимия
d) синонимия

22. Определите, в какой пословице встречаются однокорневые антонимы
a) Умный себя винит, глупый – друга.
b) Горькое и сладкое – едоку ведомо, далекое и близкое – ходоку ведомо.
c) Честно курицы не нажил, нечестно –собаки.
d) На вершинах – ветрам раздолье, в низинах – селам.

23. Укажите лингвистическое явление, использованное в этом тексте:
Когда есть в актрисе настоящая сила,
Когда слово ее проникает в сердца,
Пусть говорят мне: она некрасива.
Нету прекрасней ее лица.
a) омонимия
b) многозначность
c) антонимия
d) синонимия

24. Укажите лингвистическое явление, использованное в этом тексте:
Людмила умереть умеет!
Не нужно мне твоих шатров,
Ни скучных песен, ни пиров –
Не стану есть, не буду слушать.
Умру среди твоих садов!
Подумала – и стала кушать
a) омонимия
b) многозначность
c) антонимия
d) синонимия


25. Укажите лингвистическое явление, использованное в этом тексте:
Я дремотою отрадной
Не сомкну моих очей
И встречаю с грустью хладной
Свет зари и тьму очей
a) омонимия
b) многозначность
c) антонимия
d) синонимия

26. В каких отношениях находятся выделенные слова: Да разве у уездного лекаря не было адского камня? Как же это, боже мой! Врач – и не имеет такой необходимой вещи!
a) омонимия
b) многозначность
c) антонимия
d) синонимия

27. Определите, в какой пословице встречаются предлоги-антонимы
a) От умного – мудрость, от глупого – скупость.
b) И небольшой враг – враг, и малый тоже.
c) Тысяча друзей – мало, один враг – много.
d) С деньгами – вскачь, без денег – хоть плачь

28. В какой пословице встречаются однокорневые антонимы
a) Достаток объединяет – бедность разобщает
b) Чем кому-то смерти желать, пожелай себе жизни
c) У имущего должников не счесть, у неимущего – кредиторов
d) Чугунный казан в своем доме лучше, чем медный – в чужом.

29. В каких отношениях находятся выделенные слова: Сквозь окна разбитые смотрит луна, сквозь окна разбитые мутно глядит на древние стены палат.
a) об омонимах
b) о разных значениях многозначного слова
c) о синонимах
d) о паронимах

30. Укажите лингвистическое явление, использованное в этом тексте: лет до ста расти нам без старости
a) омонимия
b) многозначность
c) антонимия
d) синонимия​
Предмет: Математика, автор: bond007237