Предмет: Алгебра,
автор: DEMAN21RUS
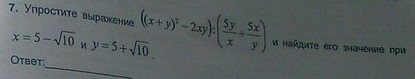
Решите то,что изображено на фото.
Приложения:
Ответы
Автор ответа:
0
Смотри вложение-------->
Приложения:
Похожие вопросы
Предмет: Математика,
автор: aitkaliykyzy
Предмет: Математика,
автор: deizin1337
Предмет: Биология,
автор: yegorov1999
Предмет: История,
автор: jolieangelina
Предмет: Математика,
автор: пвукнпа