Предмет: Математика, автор: Зайка3321

СРОЧНО! Помогите пожалуйста с 5 примером!

Приложения:

Ответы

Автор ответа: Trover
0
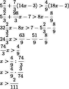
5frac23+frac73(14x-3) textgreater  frac49(18x-2)\5frac23+frac{98}3x-7 textgreater  8x-frac89\32frac23x-8x textgreater  7-5frac23-frac89\24frac23x textgreater  frac{63}9-frac{51}9-frac89\frac{74}3x textgreater  frac49\x textgreater  frac49:frac{74}3\x textgreater  frac49cdotfrac3{74}\x textgreater  frac2{111}
Приложения:
Автор ответа: Зайка3321
0
Найдите его пожалуйста
Похожие вопросы
Предмет: Русский язык, автор: shakhatovkiril
Предмет: Математика, автор: veneraazimbekova03
Предмет: Химия, автор: zzzhuldyz