Предмет: Алгебра,
автор: ximiwisi
Помогите пожалуйста, алгебра, 11 класс
3. Найдите первообразную функцию f(x)= 3x^2-4x+5, график которой проходит через точку М (2, -7)
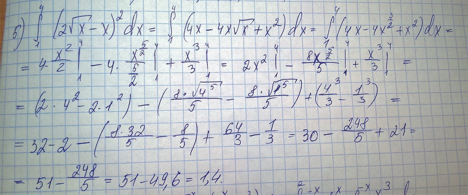
5,6 Вычислите интеграл
Приложения:
Ответы
Автор ответа:
0
Ответ----------------------------------
Приложения:
Похожие вопросы
Предмет: Химия,
автор: sofia8971
Предмет: Математика,
автор: aurfeliks
Предмет: Математика,
автор: polikaninaksenia531
Предмет: Математика,
автор: arzaharenko02
Предмет: Биология,
автор: tvildianik