Предмет: Математика,
автор: альмира23
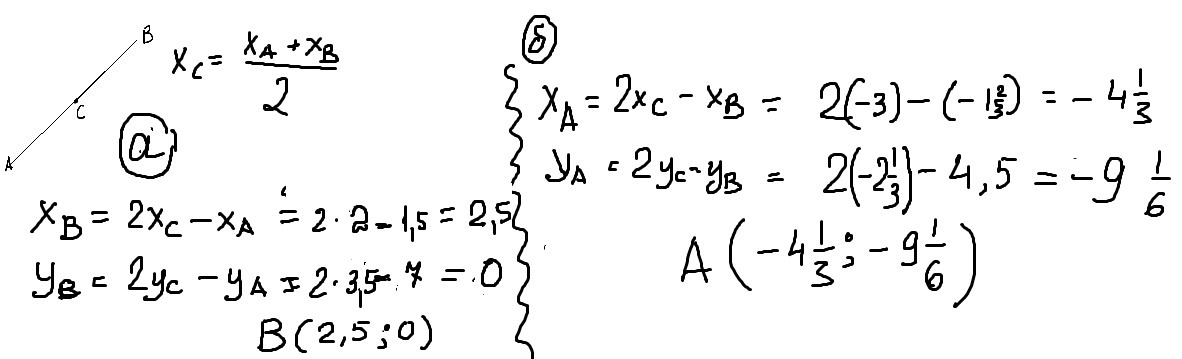
дан отрезок AB и его середина C. Найдите координаты:а) точки B,если A(1.5;7),C(2;3.5); б) точки A, если B(-1 2/3;4.5),C(-3;-2 1/3).
Ответы
Автор ответа:
0
проблем в этой задаче нет. решение вложено
Приложения:
Похожие вопросы
Предмет: Математика,
автор: koseelewivan
Предмет: МХК,
автор: sashar43
Предмет: Математика,
автор: democrew7
Предмет: Математика,
автор: 89537814886
Предмет: Биология,
автор: Matheo7o4