Предмет: Алгебра,
автор: vanek77711
ПОМОГИТЕ!
Решите уравнение х3 - 2х2 - 3х + 6=0.
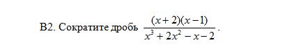
и Сократить дробь во вложении
Приложения:
Ответы
Автор ответа:
0
Все решение изложено на фотографии. Что не понятно спрашивай!!!! На другой фотке все понятнее!
Похожие вопросы
Предмет: История,
автор: chelovekchek207
Предмет: Математика,
автор: asisenov2258
Предмет: Математика,
автор: delandrej754
Предмет: Биология,
автор: misshello21
Предмет: Физика,
автор: шубка