Предмет: Алгебра,
автор: ershovaket
Вычислите интеграл, с подробностями, если можно, пожалуйста
Приложения:
Ответы
Автор ответа:
0
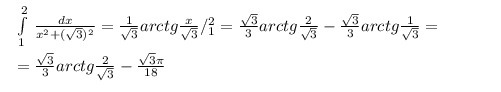
см фото
========================
========================
Приложения:
Автор ответа:
0
Решение в отдельном файле.
Приложения:
Похожие вопросы
Предмет: Геометрия,
автор: yaartemenkoo
Предмет: Математика,
автор: Ehcbxnsjdjchdh
Предмет: Геометрия,
автор: Sparryalex
Предмет: Физика,
автор: porol938