Предмет: Математика, автор: tandemmmm

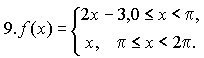
Построить график функции

Приложения:

Ответы

Автор ответа: xxxeol
0
Два прямолинейных участка.
Приложения:
Автор ответа: xxxeol
0
Может быть в ПОЛЯРНЫХ координатах надо?
Автор ответа: tandemmmm
0
это нужно на графике
Похожие вопросы
Предмет: Русский язык, автор: lzukovskaa
Нужно сделать в тексте снизу 3 предложения осложнёных обособленым определением или обстоятельством (изменить уже имеющее предложение или добавить предложение) и выделить

Править страной сложно, а управлять всем миром сразу невероятно сложно. Для этого нужен призидент который будет всегда и везде успевать так как в более большой странее будет на много больше различных проблем. Скорее всего это невозможно, поэтому правитель будет назначать людей на эти дела. Нужно не только везде успевать и за всем следить, а также ещё делать правильные решения, поэтому правитель должен быть очень умным. Ум важнейшое качество которым должен обладать призидент так как иза не правильных действий будут больше проблем которые также надо будет решать. Грамотное распределение ресурсов земли помогут дать нуждающимся то что у других много так как есть люди которые беднеют, а у других денег валом например в Америке много ресурсов и это богатая страна делясь этими ресурсами более бедными странами можно обеспечить на много больше людей ведь главная задача человечество выжить и продолжать род.
Предмет: Биология, автор: alinadorofeeva333111
1) Які типи гамет утворюють організми з генотипами: AABB, АаВв, ААВв, ааВв ?

2) Курка та півень чорні чубаті. Від них отримано 12 курчат: 6 чорних чубатих, 3 бурих чубатих, 2 чорних без чубчика, 1 буре без чубчика. Які генотипи курки та півня?

3) У морських свинок алель чорного забарвлення шерсті С домінує над алелем с, що обумовлює біле забарвлення. Короткошерстість визначається домінантним геном W, а довгошерстість рецесивним алелем w. Гени забарвлення і довжини шерсті успадковуються незалежно. Гомозиготна чорна короткошерста тварина була схрещена з гомозиготною білою довгошерстою. Яке потомство буде від схрещування свинок з F1 з чорною короткошерстою батьківською особиною?

4) У людини коричневий колір очей домінує над блакитним, а здатність краще володіти правою рукою домінує над ліворукістю. Кароока правша вийшла заміж за блакитноокого лівшу, у них народилося двоє дітей - блакитноокий правша і блакитноокий лівша. Визначити генотип матері.