Предмет: Алгебра,
автор: selenamarigom
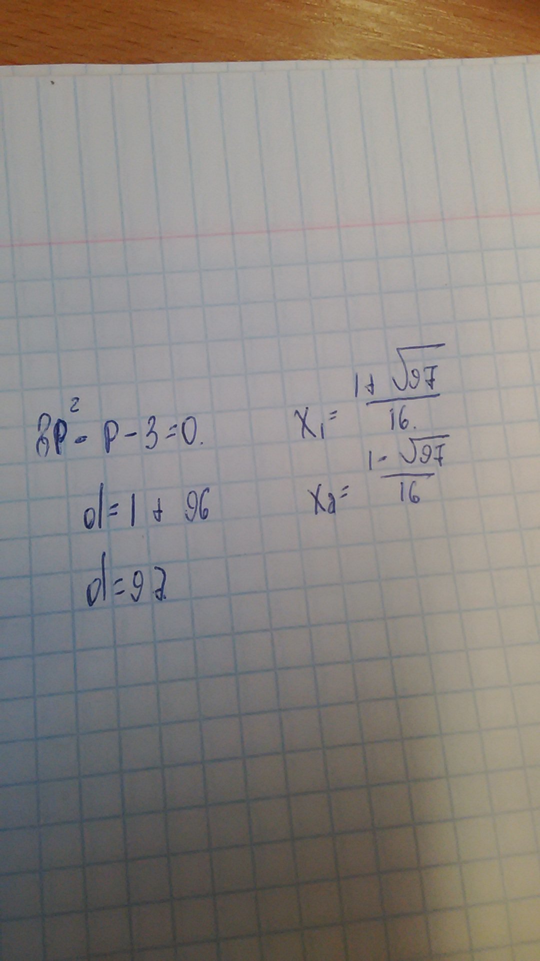
решите уравнение 8p^2-p-3=0
Ответы
Автор ответа:
0
Дискриминант не очень хороший )
Приложения:
Похожие вопросы
Предмет: Английский язык,
автор: gorodkovakarolina22
Предмет: Химия,
автор: davanik2008
Предмет: Английский язык,
автор: sam5632
Предмет: Алгебра,
автор: витаа1
Предмет: Алгебра,
автор: astriddd