Предмет: Математика,
автор: urazver97
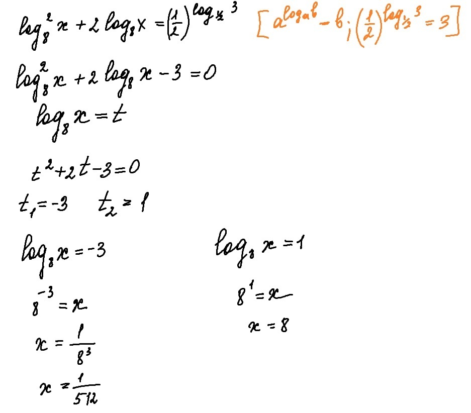
помогите решить последнее , пожалуйста , совсем запутался , ну и по возможности остальные , что бы проверить у себя ответы
Приложения:
Ответы
Автор ответа:
0
Решение в прикрепленном файле
Приложения:
Автор ответа:
0
спасибо большое а с 4 не поможете?
Автор ответа:
0
Добавила
Автор ответа:
0
спасибо)
Автор ответа:
0
здравствуйте, ульяна не могли бы и помочь со 2, а то я не правильно решил( знаю надоел уже, ну может все же
Похожие вопросы
Предмет: Русский язык,
автор: tohtasovferdaus
Предмет: Математика,
автор: dosmetovasevara1
Предмет: Английский язык,
автор: kamolatairova3
Предмет: Алгебра,
автор: Помеха7
Предмет: Математика,
автор: Аноним