Предмет: Алгебра,
автор: asylll1
пожалуйста помогите уравнение : (а+в)^3=а^3+3×а^2×в+3×а×в^2+в^3
(а-в)=а^3-3×а^2×в+3×а×в^2-в^3
решит нужно в этом формуле пожалуйста
1) (x+1)^3-(x-1)^3=x (6x+2)
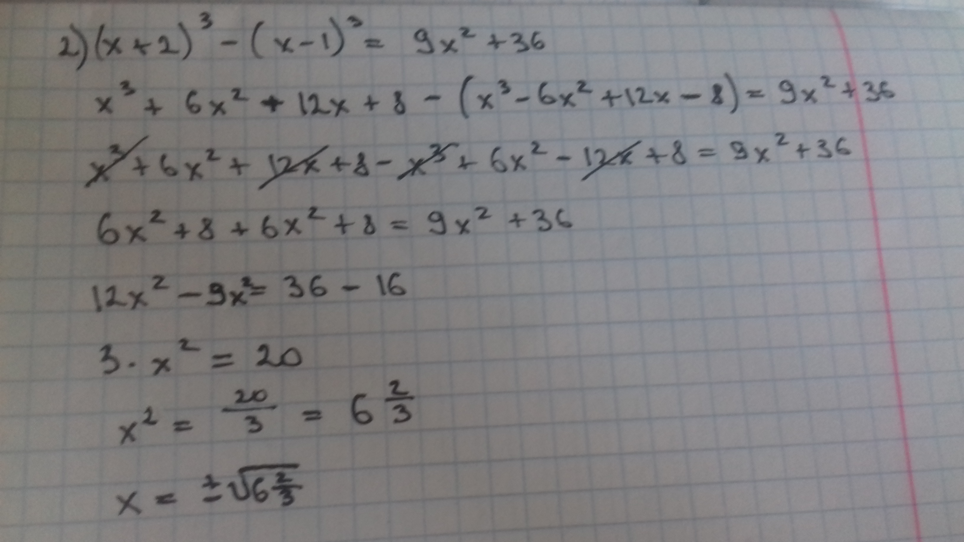
2) (x+2)^3-(x-1)^3=9x^2+36
3)(x-2)^3-3x^2-4=(x-3)^3
4)(x+3)^3=x^2 (x+9)
Ответы
Автор ответа:
0
На каждой фотографии по одному примеру. Номер написан в самом начале примера. Если что будет непонятно, обращайся":)
Приложения:
Похожие вопросы
Предмет: География,
автор: supercrepa7
Предмет: Химия,
автор: andreyrojko2005
Предмет: Английский язык,
автор: burhanovzhanat
Предмет: Математика,
автор: Winchester27
Предмет: Биология,
автор: koreana1158