Предмет: Алгебра,
автор: antonymilky9931
Помогите с решением пожалуйста.
Приложения:
Ответы
Автор ответа:
0
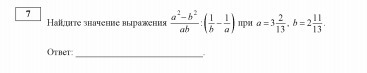
сначала решим выражение в скобках
1) приведем к общему знаменателю 16 (7/8 = 14/16)
2) число будет отрицательное поэтому
-(3 14/16 - 1 11/16) = -2 3/16
Умножаем полученный результат на 4
1) для этого рез. в неправильную дробь
-35/32
-35/32*4 = -35/8*1
-35/8 = - 4 3/8
1) приведем к общему знаменателю 16 (7/8 = 14/16)
2) число будет отрицательное поэтому
-(3 14/16 - 1 11/16) = -2 3/16
Умножаем полученный результат на 4
1) для этого рез. в неправильную дробь
-35/32
-35/32*4 = -35/8*1
-35/8 = - 4 3/8
Похожие вопросы
Предмет: Русский язык,
автор: tasyrovaarailym
Предмет: Геометрия,
автор: kcyha205
Предмет: Русский язык,
автор: adilhanarj
Предмет: Математика,
автор: natalimixalevab
Предмет: Алгебра,
автор: Elchin9