Предмет: Алгебра,
автор: oksanaerachova
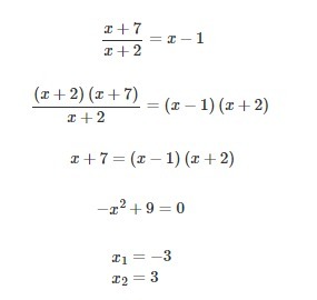
помогите решить неравенство методом интегралов х+7/х+2 больше или равно х-1
Ответы
Автор ответа:
0
Решение приложил в картинке
Приложения:
Похожие вопросы
Предмет: Русский язык,
автор: 666666hell666
Предмет: Математика,
автор: memmedovag894
Предмет: Английский язык,
автор: turdubaevaalina551
Предмет: Алгебра,
автор: reginka24
Предмет: Алгебра,
автор: lerasokolova11