Предмет: Физика,
автор: FormalGames
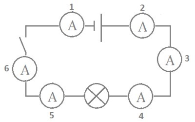
aмперметр 2 показывает силу тока 0,49 А. Какую силу тока показывает амперметр 6?
Ответ: амперметр 6 показывает
0,49
А.
Приложения:
Ответы
Автор ответа:
0
ток на амперметре 6 как и на всех остальных, один 0.49А.
Похожие вопросы
Предмет: Математика,
автор: Pantykin
Предмет: Литература,
автор: zaniaakcina
Предмет: Математика,
автор: innaburtnak347
Предмет: Математика,
автор: gettobirds
Предмет: Математика,
автор: misssatar