Предмет: Алгебра,
автор: Lilyjames77
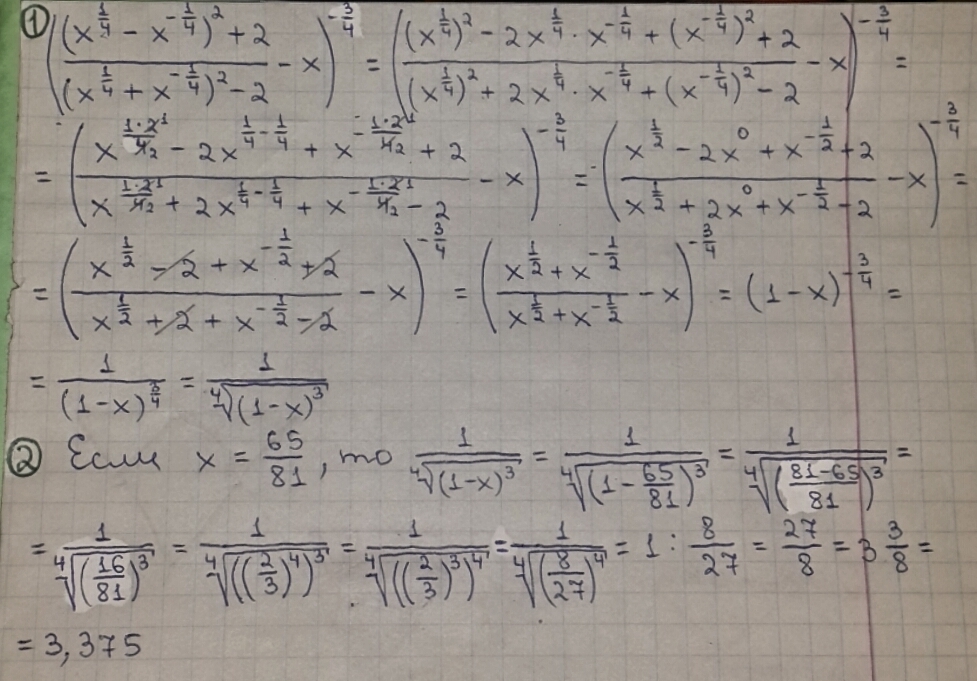
Решите пожалуйста задание на фото
Приложения:
Ответы
Автор ответа:
0
Всё решение есть на фото.
Приложения:
Похожие вопросы
Предмет: Геометрия,
автор: gid11112345
Предмет: Русский язык,
автор: Asanali56466
Предмет: Английский язык,
автор: Аноним
Предмет: Математика,
автор: ricaty
Предмет: Геометрия,
автор: dgu105