Предмет: Алгебра,
автор: gt60
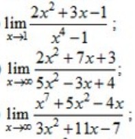
Сделайте с пошаговым решением, пожалуйста.
Приложения:
Ответы
Автор ответа:
0
1.

2.

3.


2.
3.
Похожие вопросы
Предмет: Английский язык,
автор: Angelikap
Предмет: Математика,
автор: nizamyuldashev03
Предмет: Биология,
автор: daniel788
Предмет: Математика,
автор: naruto939