Предмет: Алгебра,
автор: olyaorlova03
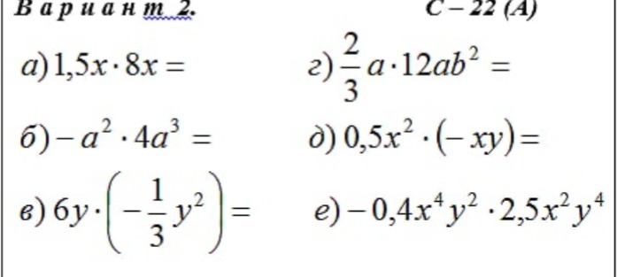
Помогите решить пожалуйста!Очень срочно
Приложения:
Ответы
Автор ответа:
0
вот так вот так вот так вот
Приложения:
Похожие вопросы
Предмет: Математика,
автор: 000000098643
Предмет: Геометрия,
автор: invicybersport
Предмет: История,
автор: dashulyak777
Предмет: Математика,
автор: Kamilya200377
Предмет: Математика,
автор: bakeev1petya1