Предмет: Математика,
автор: мамарамар
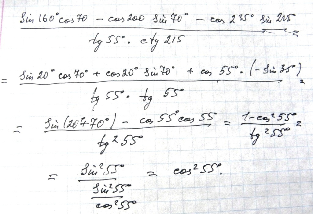
Пожалуйста, умоляю, очень нужно, помогите. Нужно решить 1 пример
Приложения:
Ответы
Автор ответа:
0
Там в решении 180-30=150, а не 160. Решение в файле.
Приложения:
Похожие вопросы
Предмет: Русский язык,
автор: aidamiraidarbekov
Предмет: Алгебра,
автор: ldoslsls
Предмет: История,
автор: Legorn
Предмет: Математика,
автор: olga2976