Предмет: Алгебра,
автор: iron058
Помогите пожалуйста
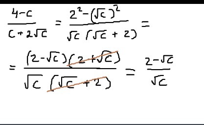
Сократите дробь
4-с
--------
с+2√с
Ответы
Автор ответа:
0
вот, надеюсь ,поймешь)
Приложения:
Автор ответа:
0
Спасибо!!
Похожие вопросы
Предмет: Русский язык,
автор: kseniamoscow2009
Предмет: География,
автор: vlados169
Предмет: Алгебра,
автор: rasulbratan7
Предмет: Биология,
автор: yevgenia2001
Предмет: Математика,
автор: husainova190519