Предмет: Алгебра,
автор: silinimvarvara1
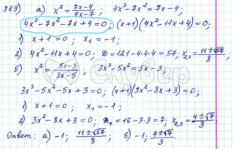
Объясните как сгрупперовать уравнение (обведено голубым цветом) Я не понимаю как в следующем действии получается такой ответ
Приложения:
Ответы
Автор ответа:
0
Сначала проверили является ли х=-1 корнем уравнения
4*(-1)³-7*(-1)²-7*(-1)+4=-4-7+7+4=0
Затем разделили многочлен на х+1
4х³-7х²-7х+4 |x+1
4x³+4x² 4x²-11x+4
--------------
-11x²-7x
-11x²-11x
-------------------
4x+4
4x+4
-----------
0
4x³-7x²-7x+4=(x+1)(4x²-11x+4)=0
4*(-1)³-7*(-1)²-7*(-1)+4=-4-7+7+4=0
Затем разделили многочлен на х+1
4х³-7х²-7х+4 |x+1
4x³+4x² 4x²-11x+4
--------------
-11x²-7x
-11x²-11x
-------------------
4x+4
4x+4
-----------
0
4x³-7x²-7x+4=(x+1)(4x²-11x+4)=0
Похожие вопросы
Предмет: Математика,
автор: zasminaerkinova173
Предмет: Математика,
автор: sabbiayt
Предмет: Литература,
автор: Аноним
Предмет: Литература,
автор: 2014INNA2014