Предмет: Математика,
автор: НаталиЕнот
Прошу помогите!Алгебра 9 класс. Срочно
Приложения:
Ответы
Автор ответа:
0
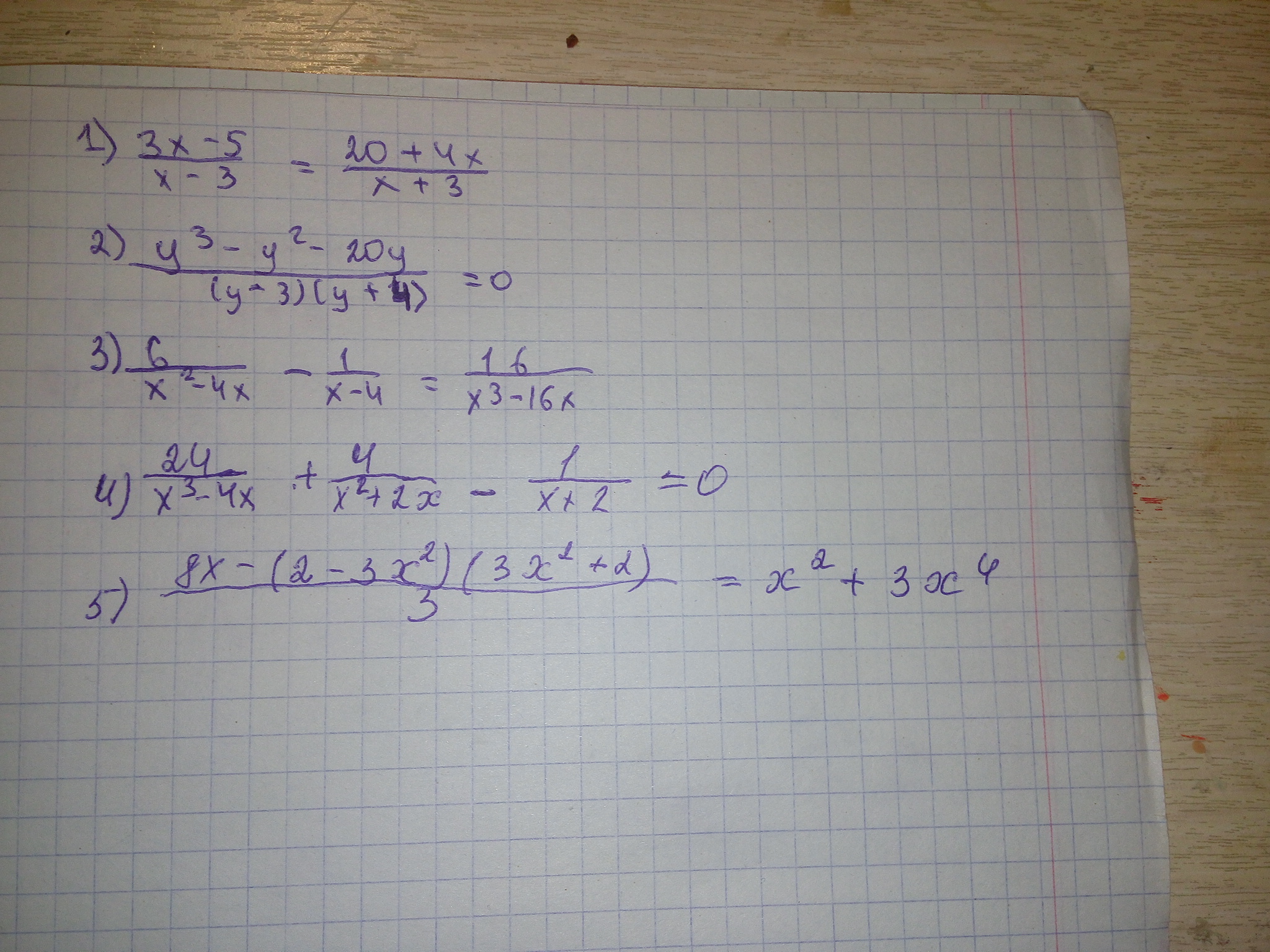
1) (3x-5)/(x-3)=(20+4x)/(x+3)
(3x-5)(x+3)=(x-3)(20+4x)
3x^2+9x-5x-15=20x+4x^2-60-12x
-x^2-4x+45=0 |*(-1)
x^2+4x-45=0
D=16-4*1*(-45)=16+180=196=14^2
x1=-9; x2=5
(3x-5)(x+3)=(x-3)(20+4x)
3x^2+9x-5x-15=20x+4x^2-60-12x
-x^2-4x+45=0 |*(-1)
x^2+4x-45=0
D=16-4*1*(-45)=16+180=196=14^2
x1=-9; x2=5
Автор ответа:
0
А остальные не сможешь?
Похожие вопросы
Предмет: Химия,
автор: olesyakorini
Предмет: Другие предметы,
автор: ivanovbob741
Предмет: Алгебра,
автор: musatenko2006vitalik
Предмет: Математика,
автор: rnvbidsev
Предмет: Математика,
автор: Аноним