Предмет: Алгебра,
автор: ramzespiz
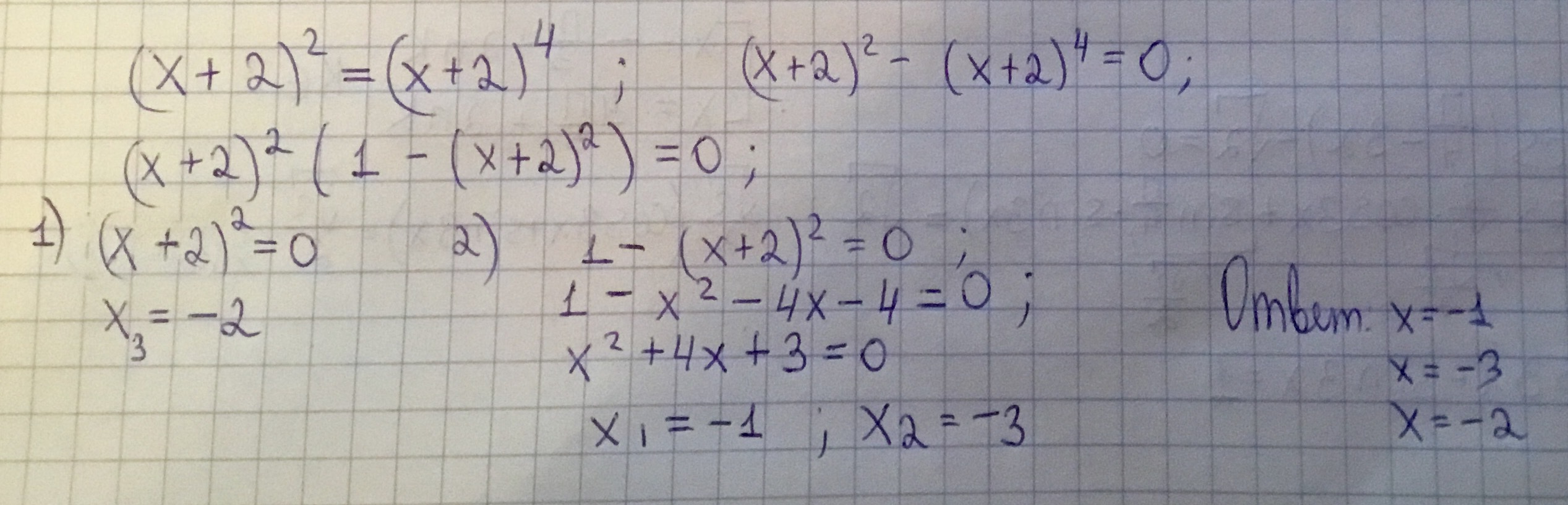
(x+2)^2=(x+2)^4 помогите решить это уравнение .
Ответы
Автор ответа:
0
_______________________________
Приложения:
Похожие вопросы
Предмет: Математика,
автор: mishazharko1997
Предмет: Қазақ тiлi,
автор: nastya112376
Предмет: Математика,
автор: sofiaostroglad
Предмет: Математика,
автор: Filipp20003
Предмет: Математика,
автор: VerdandiUla