Предмет: Геометрия, автор: Stasya9895

Основания трапеции равны 6 и 2 дм,боковые стороны 0,13 и 0,37 м. Найти площадь.

Ответы

Автор ответа: Rasta13
0

0,13 м = 1,3 дм

0,73 м = 3,7 дм

Дана трапеция ABCD, у которой известны все стороны. Нужно найти высоту, чтобы вычислить площадь.

 

Проведем отрезок BE к нижнему основанию AD параллельно боковой стороне трапеции CD. Поскольку BE и CD параллельны и проведены между параллельными основаниями трапеции BC и DA, то BCDE - параллелограмм, и его противоположные стороны BE и CD равны. BE=CD.

 

Рассмотрите треугольник ABE.  AE=AD-ED. Основания трапеции BC и AD известны, а в параллелограмме BCDE противолежащие стороны ED и BC равны. ED=BC, значит, AE=AD-BC.

 

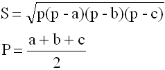
Теперь найдем площадь треугольника ABE по формуле Герона (вложение 2).

p = 4,5

S = 2,4

Найдем высоту

ВО = 2S / AE

BO = 0,6

 

Высота треугольник является и высотой трапеции.

 

Sтрап = (2+6)*0,6 / 2 = 2,4 дм ^{2} .

 

Приложения:
Похожие вопросы