Предмет: Алгебра,
автор: rebrovavlada
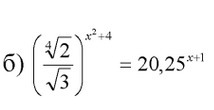
Помогите решить данное уравнение
Приложения:
Ответы
Автор ответа:
0
(x²+4)/4=-2x-2
x²+4-8x+8=0
x²-8x+12=0
x1+x2=8 U x1*x2=12
x1=2 U x2=6
Похожие вопросы
Предмет: ОБЖ,
автор: sensia
Предмет: Математика,
автор: 2jsjsjjs8kba
Предмет: География,
автор: lokiasgard
Предмет: Физика,
автор: agie20021201
Предмет: Физика,
автор: innanata2003123