Предмет: Алгебра,
автор: Катерина5555511
Срочно.
Заранее спасибо.
Приложения:
Ответы
Автор ответа:
0
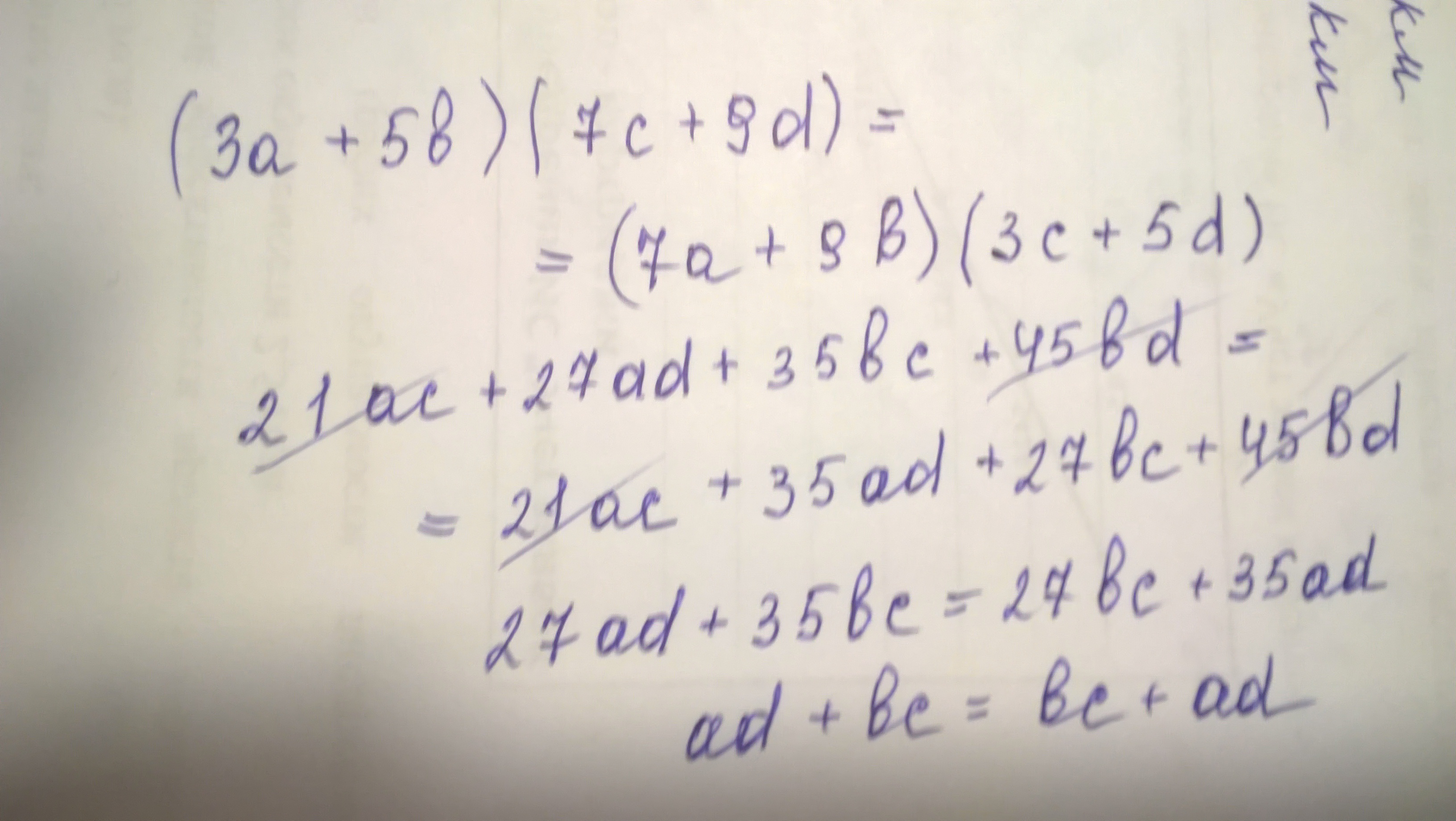
Решение на фото. Решаем пропорцию. Две последние строчки поправила, там буквы были перепутаны. и получается что равенство соблюдается
Приложения:
Автор ответа:
0
Точно так, там же деление должно получиться (дробь).
Автор ответа:
0
Над 1 ^ 2
Автор ответа:
0
деньги на ветер и
Похожие вопросы
Предмет: Другие предметы,
автор: victoriaarosuk6
Предмет: Математика,
автор: mirakudravceva28
Предмет: Химия,
автор: nikitatcaciuc333
Предмет: Физика,
автор: iie4enioshka
Предмет: Биология,
автор: volodinadasha1