Предмет: Математика,
автор: vvickymouse
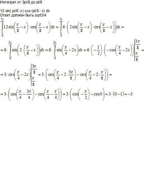
Интеграл от 3pi/8 до pi/8
12 sin( pi/8 -x) cos (pi/8 - x) dx
Ответ должен быть sqrt3/4
Ответы
Автор ответа:
0
решение во вложении
решила еще вчера, с ответом "не сходится"
решила еще вчера, с ответом "не сходится"
Приложения:
Похожие вопросы
Предмет: История,
автор: olzabajaazan660
Предмет: Русский язык,
автор: dasharubaeva26
Предмет: Английский язык,
автор: Аноним
Предмет: Химия,
автор: sashenьkaa
Предмет: Физика,
автор: Toryanik