Предмет: Алгебра,
автор: kiosse77
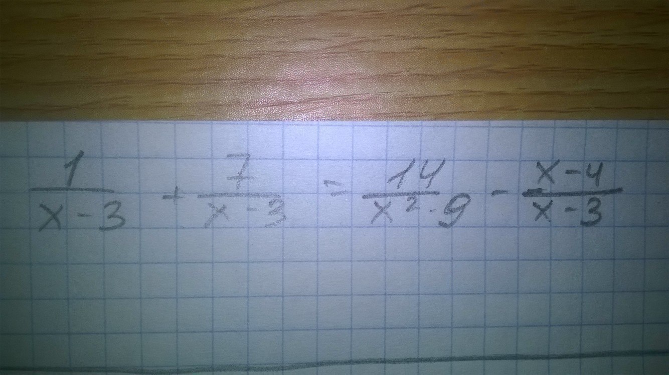
помогите решить,я не понимаю как решать,помогите плиззз
Приложения:
Ответы
Автор ответа:
0
:)там 17 ,78,69,36.
это точно!
это точно!
Автор ответа:
0
а решение?
Автор ответа:
0
просто в инете найди я ответы в инете нашла и мне 5 просто поставили.
Автор ответа:
0
ну там нету
Похожие вопросы
Предмет: Алгебра,
автор: KaMiK06
Предмет: Математика,
автор: pavelkazimir9
Предмет: Алгебра,
автор: reshetovdaniel
Предмет: Экономика,
автор: petrov768653
Предмет: Математика,
автор: lfybk2007