Предмет: Алгебра,
автор: Jeka12123
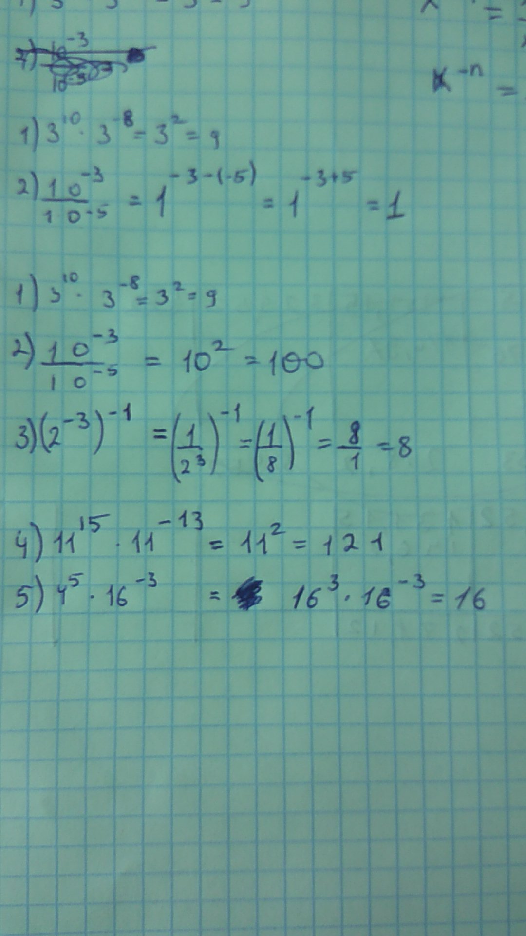
3 в степ. 10 умножить на 3 в степ. -8
10 в степ -3 разделить на 10 в степ -5
(2 в степ. -3)в степ -1
11 в степ. 15 умножить на 11 в степ. -13
4 в степ 5 умножить на 16 в степ. -3
Пжлст помогите
Ответы
Автор ответа:
0
Пиши нижние 5 примеров
Приложения:
Автор ответа:
0
А вы же вроде забыли в 5 и 4 при степ. в - перевести число в дробь
Автор ответа:
0
Разве?
Автор ответа:
0
Да там надо в дробь переводить
Автор ответа:
0
Напишите свой ответ, в чем проблема?
Автор ответа:
0
Ой, извиняюсь, я думал, что вы не автор вопроса
Похожие вопросы
Предмет: Литература,
автор: nadyam10
Предмет: Английский язык,
автор: RPS20102
Предмет: Алгебра,
автор: kondakovma07
Предмет: Математика,
автор: vikulyasavdero