Предмет: Алгебра,
автор: Аноним
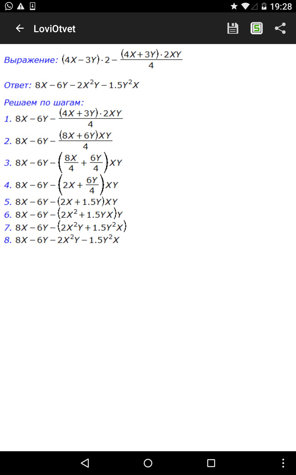
Найдите Значение выражения (4х-3у)2-(4х+3у)2/4ху
Ответы
Автор ответа:
0
вот твой ответ на вопрос
Приложения:
Похожие вопросы
Предмет: Математика,
автор: sardanaalekseeva2018
Предмет: Английский язык,
автор: davidgoncarov51
Предмет: Другие предметы,
автор: sayanxxl666
Предмет: Алгебра,
автор: dank213