Предмет: Алгебра,
автор: dimangr163
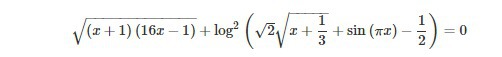
Помогите пожалуйста решить уравнение( на фото)
Приложения:
Ответы
Автор ответа:
0
Выражение представляет из себя сумму корня четной степени,которое может принимать только значения больше или равное нулю и квадрат логарифмической функции,который тоже может принимать только значения больше или равное нулю.Сумма может равняться нулю только в случае,если каждое слагаемое равно 0
(x+1)(16x-1)=0⇒x=-1 U x=1/16
x =-1не может быть корнем ,т.к. х+1/3 стоит под корнем,а значит должно быть положительным.
Проверим х=1/16
√2*√(17/16)+sinπ/16-1/2=1
√34/4+sinπ/16-3/2≠0
Ответ нет решения
(x+1)(16x-1)=0⇒x=-1 U x=1/16
x =-1не может быть корнем ,т.к. х+1/3 стоит под корнем,а значит должно быть положительным.
Проверим х=1/16
√2*√(17/16)+sinπ/16-1/2=1
√34/4+sinπ/16-3/2≠0
Ответ нет решения
Автор ответа:
0
под корнем не 17/16 же там 1/16+1/3=19/42
Автор ответа:
0
19/48*
Похожие вопросы
Предмет: Алгебра,
автор: evangelina9098
Предмет: История,
автор: grabovskadianka
Предмет: Литература,
автор: ann3338880
Предмет: Математика,
автор: olya060415