Предмет: Алгебра,
автор: sovsyannikova
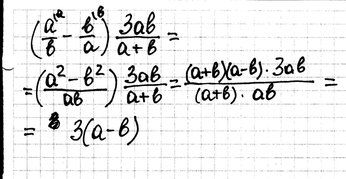
(a/b-b/a)*3ab/a+b решите пожалуйста !!
Ответы
Автор ответа:
0
В последнем действии в числителе и знаменателе сокращаются (a+b) и ab. Решение во вложении.
Приложения:
Похожие вопросы
Предмет: История,
автор: chevovek
Предмет: Математика,
автор: saehovdanil436
Предмет: Алгебра,
автор: vaspvchampit
Предмет: Алгебра,
автор: шшшшш
Предмет: Химия,
автор: LenEro