Предмет: Алгебра,
автор: AlisNK
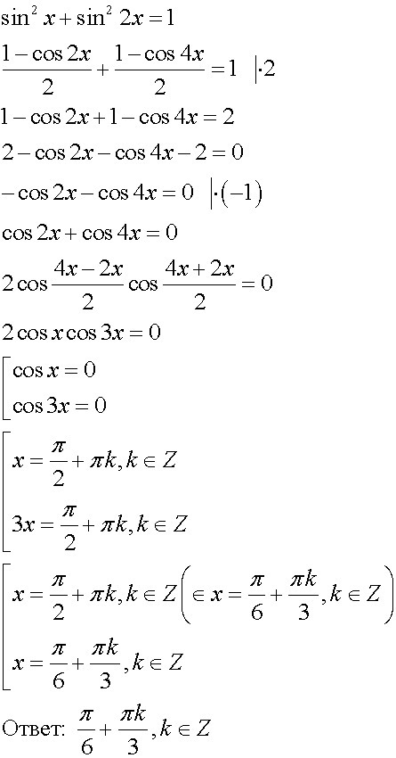
решите обведенный пример
Приложения:
Ответы
Автор ответа:
0
Решение в приложенном файле:
Приложения:
Автор ответа:
0
огромное спасибо)
Похожие вопросы
Предмет: Другие предметы,
автор: maevskasofia717
Предмет: Українська мова,
автор: Bakulinalisa08
Предмет: Геометрия,
автор: stygarbogdan74
Предмет: Литература,
автор: nastyakovalkov
Предмет: Информатика,
автор: Kisa00Kisulka