Предмет: Алгебра, автор: Marsellos

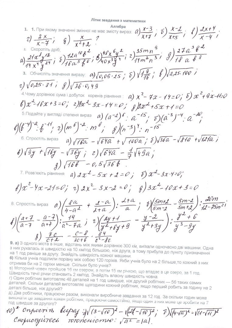
Вирішити задачу №10 з поясненням

Приложения:

Ответы

Автор ответа: Аноним
0
displaystyle a)   y=sqrt{(3- sqrt{10})^2}-sqrt{(2- sqrt{10})^2} =left|3- sqrt{10}right|-left|2- sqrt{10}right|; \ 2 textless  3 textless   sqrt{10}to y=left(sqrt{10}-3right)-left(sqrt{10}-2right)= \ sqrt{10}-3-sqrt{10}+2=-1

dipslaystyle b)  y=sqrt{(4- sqrt{11})^2}-sqrt{(1- sqrt{11})^2} =left|4- sqrt{11}right|-left|1- sqrt{11}right|; \ 1 textless  sqrt{11} displaystyle textless  4to y=left(4-sqrt{11}right)-left(sqrt{11}-1right)= \ 4-sqrt{11}-sqrt{11}+1=5-2 sqrt{11}
Похожие вопросы
Предмет: Математика, автор: fyutk1104