Предмет: Математика,
автор: Kuzmitchok
Тригонометрическое уравнение, пожалуйста помогите:
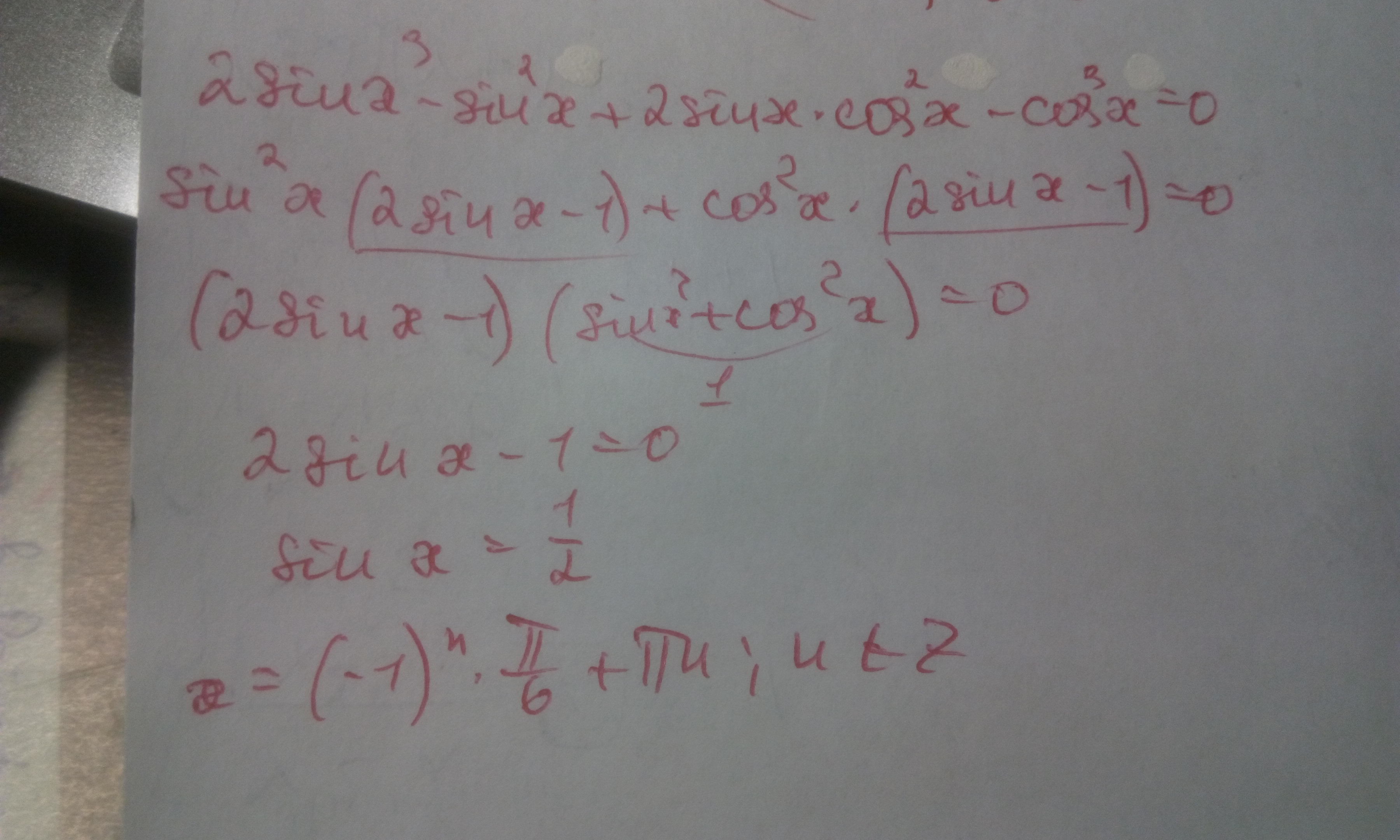
2(sinx)^3-(sinx)^2+2sinx(cosx)^2-(cosx)^3=0
Ответы
Автор ответа:
0
Решение смотри во вложении.
Приложения:
Автор ответа:
0
Тогда у меня неправильно.Либо условие неверно.
Автор ответа:
0
После преобразований у меня получилось (sinx-1)(sin^5x+sinx^4x-2sin^3x-6sin^2x+sin^2x+1)
Автор ответа:
0
=0
Автор ответа:
0
(sin^5x+sinx^4x-2sin^3x-6sin^2x+sin^2x+1)=0 Вэтом выражении долно быть еще 2 корня, но я не догоняю как его преобразовать
Автор ответа:
0
или изначально проморгал какое то тригонометрическое упращение, поэтому и прошу помощи в решении
Похожие вопросы
Предмет: Математика,
автор: alisa241008
Предмет: Алгебра,
автор: vladguba9
Предмет: Информатика,
автор: sashachub85
Предмет: Математика,
автор: Аноним
Предмет: Информатика,
автор: Helena03