Предмет: Геометрия,
автор: exodor
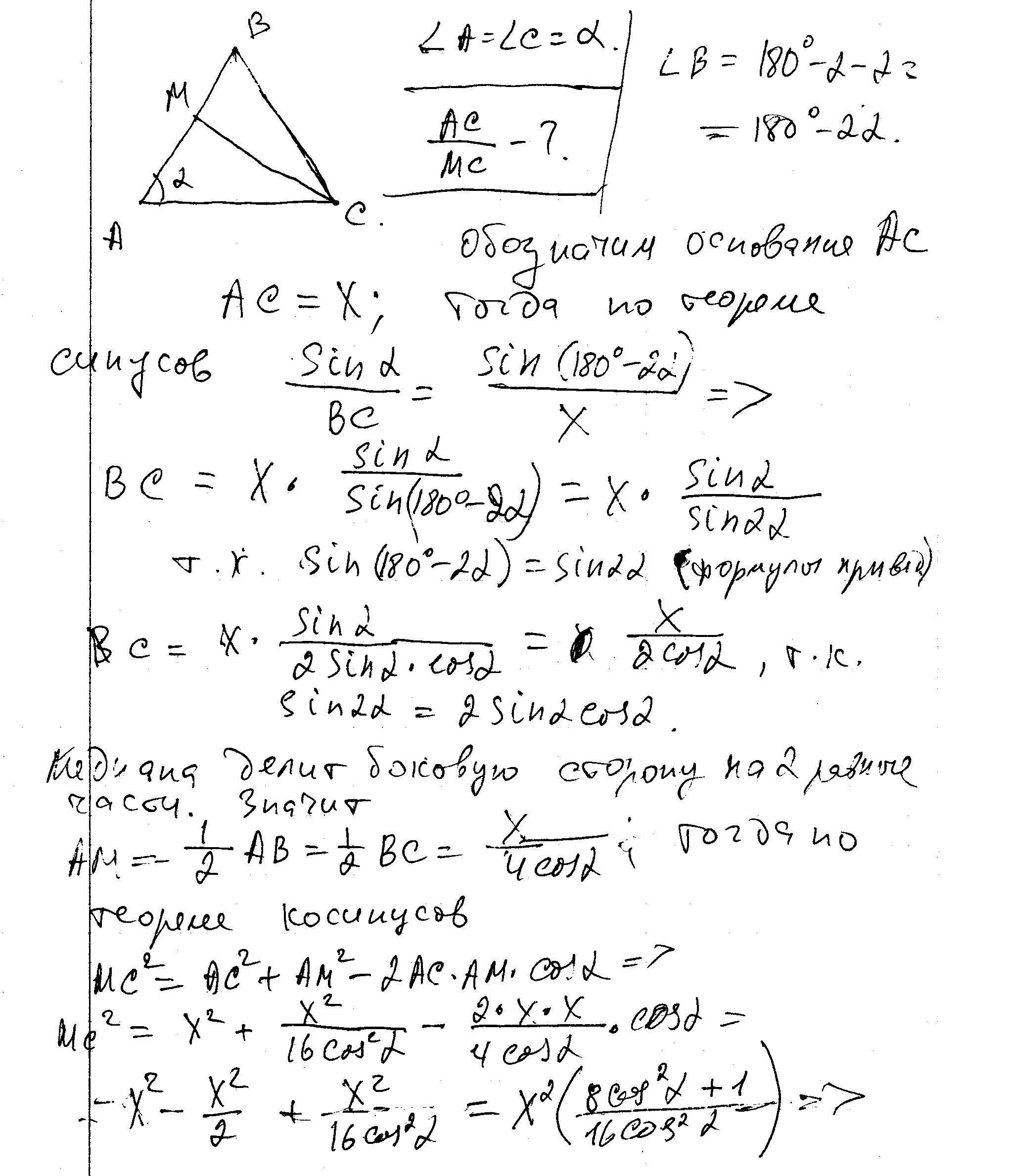
Угол при основании равнобедренного треугольника равен l.Найдите отношение основания к медиане,проведенной к боковой стороне
Ответы
Автор ответа:
0
Это грубое решение, но честное слово не могу заставить себя думать.
Приложения:
Автор ответа:
0
Спасибо большое,Вы мне очень-очень помогли!
Автор ответа:
0
Удачи Вам.
Похожие вопросы
Предмет: Математика,
автор: nadeica1772
Предмет: Русский язык,
автор: danialamirbekov09
Предмет: Геометрия,
автор: bsokolov266
Предмет: История,
автор: Angelika200128